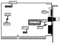
Network ARCnet. 16-bit ISA